Alachua County Clerk of the Court Seal Alachua County Clerk of the Court
J.K. "Jess" Irby, Esq. - Clerk of the Court
Historical Records
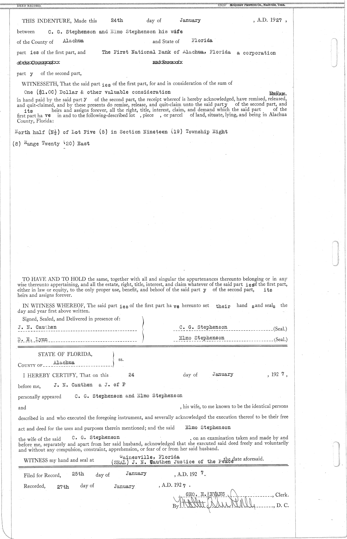
Deed Record 143
Spacer
Spacer Spacer Spacer
Spacer
Previous Page
Book Cover
Page 088
Historical Records
Next Page
Click Image for larger Image
Click Here for Larger Image
Previous Page
Book Cover
Page 088
Historical Records
Next Page