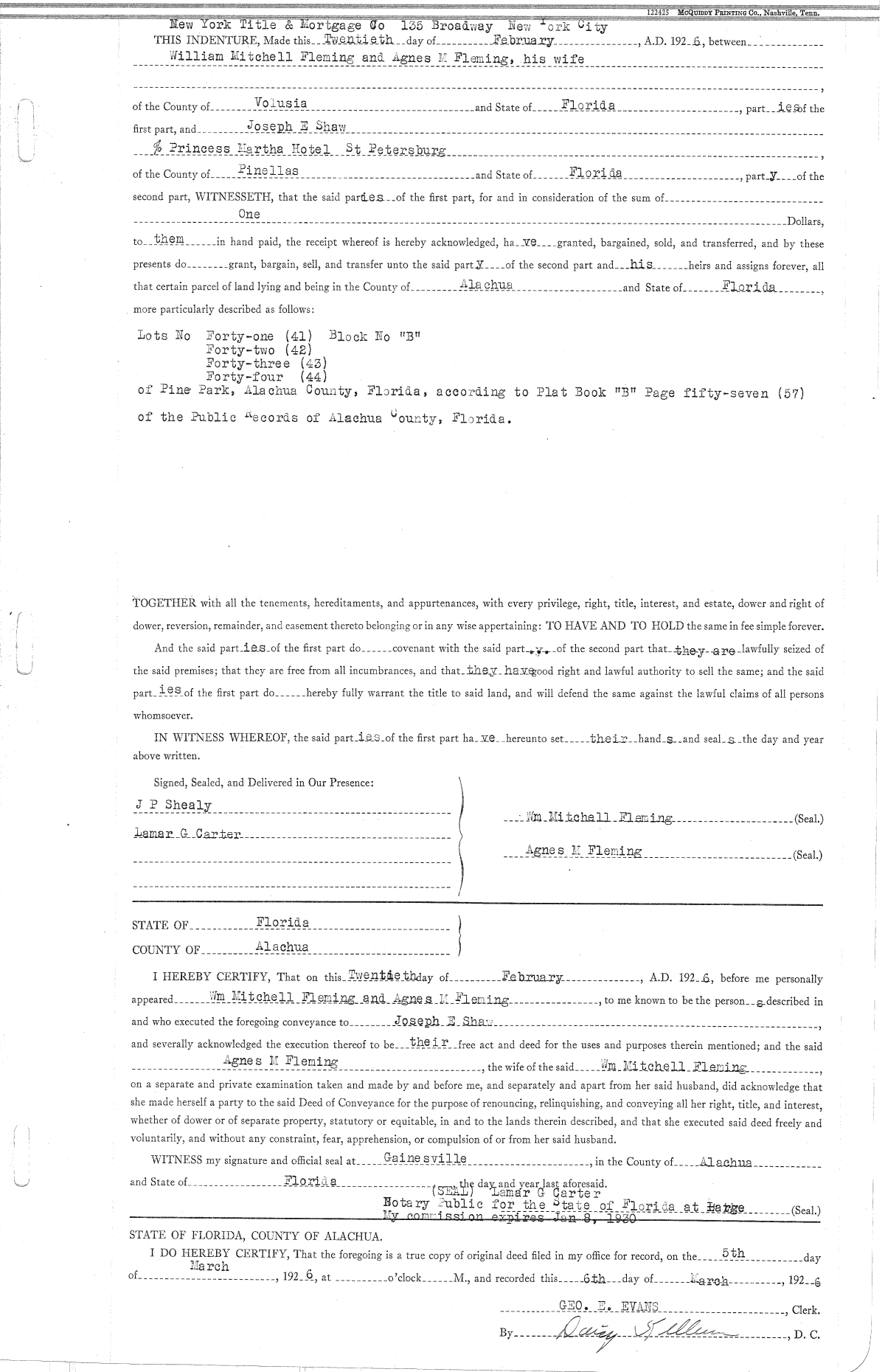
Deed Record 139
Previous Page
 
Book Cover
 
Page 291
Click Page Number to Return to Smaller Page
Historical Records
 
Next Page
 
Click Here for Printable Image
Previous Page
 
Book Cover
 
Page 291
Click Page Number to Return to Smaller Page
Historical Records
 
Next Page